发布时间:2025-09-27
计算热敏电阻
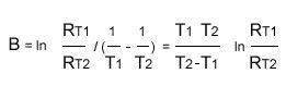
B的电阻或β值是NTC热敏电阻的热指数,其界说为两个工作温度下零功率电阻的纳比对数之间的差与两个工作温度的倒数之间的差之比。
您可以正常的运用以下公式计算RT2:

这里:
B=3380
T1=298.15K(25°C)
RT1=10Kohm
T1和T2以K显示,T(K)=T(°C)+273.15
| 3KΩ | 5KΩ | 5KΩ | 5KΩ | 10KΩ | 10KΩ | 10KΩ |
-30℃ | 31.7 | 52.84 | 63.73 | 90.83 | 111.3 | 127.5 | 133.625 |
-25℃ | 24.75 | 41.19 | 48.6 | 66.65 | 86.39 | 97.1 | 101.6 |
-20℃ | 19.46 | 32.44 | 37.4 | 49.44 | 67.74 | 74.8 | 77.925 |
-15℃ | 15.41 | 25.65 | 29.03 | 37.05 | 53.39 | 58.08 | 60.2925 |
-10℃ | 12.29 | 20.48 | 22.72 | 28.03 | 42.45 | 45.44 | 47.015 |
-5℃ | 9.864 | 16.43 | 17.91 | 21.4 | 33.89 | 35.82 | 36.945 |
0℃ | 7.974 | 13.29 | 14.23 | 16.48 | 27.28 | 28.46 | 29.235 |
5℃ | 6.486 | 10.8 | 11.39 | 12.79 | 22.05 | 22.78 | 23.305 |
10℃ | 5.303 | 8.839 | 9.181 | 9.998 | 17.96 | 18.36 | 18.685 |
15℃ | 4.362 | 7.266 | 7.451 | 7.879 | 14.68 | 14.9 | 15.0875 |
20℃ | 3.608 | 6.013 | 6.085 | 6.255 | 12.09 | 12.17 | 12.245 |
25℃ | 3.000 | 5.000 | 5.000 | 5.000 | 10.00 | 10.00 | 10.0000 |
30℃ | 2.507 | 4.179 | 4.132 | 4.024 | 8.313 | 8.264 | 7.934 |
35℃ | 2.106 | 3.508 | 3.434 | 3.259 | 6.941 | 6.89 | 6.7738 |
40℃ | 1.777 | 2.962 | 2.869 | 2.656 | 5.828 | 5.738 | 5.623 |
45℃ | 1.507 | 2.51 | 2.407 | 2.177 | 4.912 | 4.81 | 4.6913 |
50℃ | 1.283 | 2.138 | 2.032 | 1.794 | 4.161 | 4.064 | 3.9265 |
55℃ | 1.096 | 1.826 | 1.723 | 1.487 | 3.537 | 3.448 | 3.3043 |
60℃ | 0.9408 | 1.568 | 1.467 | 1.238 | 3.021 | 2.934 | 2.7928 |
65℃ | 0.8106 | 1.351 | 1.253 | 1.036 | 2.589 | 2.504 | 2.3726 |
70℃ | 0.7014 | 1.169 | 1.073 | 0.8717 | 2.229 | 2.146 | 2.021 |
75℃ | 0.609 | 1.014 | 0.9225 | 0.7364 | 1.924 | 1.845 | 1.7288 |
80℃ | 0.5303 | 0.8838 | 0.7959 | 0.6248 | 1.669 | 1.592 | 1.4858 |
85℃ | 0.4634 | 0.7725 | 0.6887 | 0.5324 | 1.451 | 1.378 | 1.2818 |
90℃ | 0.4064 | 0.6774 | 0.5975 | 0.4555 | 1.266 | 1.195 | 1.1088 |
95℃ | 0.3578 | 0.5963 | 0.5196 | 0.3912 | 1.108 | 1.039 | 0.964 |
100℃ | 0.316 | 0.5267 | 0.4533 | 0.3372 | 0.9735 | 0.966 | 0.8377 |
105℃ | 0.2798 | 0.4656 | 0.3974 | 0.2918 | 0.8574 | 0.7949 | 0.7344 |
110℃ | 0.2478 | 0.413 | 0.3514 | 0.2533 | 0.7579 | 0.7028 | 0.6429 |
B25/50℃ | 3270 | 3270 | 3470 | 3950 | 3380 | 3470 | 3600 |
B25/85℃ | 3320 | 3320 | 3530 | 3990 | 3435 | 3530 | 3630 |
| 10KΩ | 50KΩ | 100KΩ | 50KΩ | 50KΩ | 100KΩ | 100KΩ | 150KΩ | |
-30℃ | 181.7 | 908.3 | 1790 | 967.33 | 991.35 | 1984.3 | 2056.7 | 3942.8 | |
-25℃ | 133.5 | 667.6 | 1321 | 705.35 | 723.36 | 1447.7 | 1502.2 | 2787.1 | |
-20℃ | 98.99 | 494.4 | 984.7 | 519.86 | 533.09 | 1066.9 | 1107 | 1992.8 | |
-15℃ | 74.06 | 370.3 | 740.8 | 387.07 | 396.64 | 793.7 | 822.68 | 1440.3 | |
-10℃ | 56.06 | 280.3 | 562.3 | 290.98 | 297.8 | 595.85 | 616.42 | 1051.9 | |
-5℃ | 42.81 | 214.1 | 430.5 | 220.79 | 225.57 | 451.25 | 465.45 | 775.83 | |
0℃ | 32.96 | 164.8 | 332.3 | 173.34 | 172.0 | 344.1 | 352.4 | 576.7 | |
5℃ | 25.57 | 127.9 | 257.5 | 132.79 | 132.2 | 264.3 | 270.0 | 433.2 | |
10℃ | 20.00 | 99.98 | 201.1 | 102.68 | 102.4 | 204.8 | 208.3 | 328.4 | |
15℃ | 15.76 | 78.79 | 158.2 | 80.11 | 80.03 | 160.1 | 161.9 | 250.9 | |
20℃ | 12.51 | 62.55 | 125.4 | 63.04 | 63.00 | 126.0 | 126.7 | 193.3 | |
25℃ | 10.00 | 50.00 | 100.0 | 50.00 | 50.00 | 100.0 | 100.0 | 150.0 | |
30℃ | 8.048 | 40.24 | 80.29 | 39.96 | 39.76 | 79.51 | 78.35 | 117.3 | |
35℃ | 6.517 | 32.58 | 64.87 | 32.18 | 31.89 | 63.77 | 62.37 | 92.28 | |
40℃ | 5.321 | 26.56 | 57.72 | 26.09 | 25.73 | 51.45 | 49.94 | 73.11 | |
45℃ | 4.356 | 21.78 | 43.1 | 21.29 | 20.88 | 41.76 | 40.22 | 58.28 | |
50℃ | 3.588 | 17.94 | 35.42 | 17.48 | 17.04 | 34.08 | 32.56 | 46.74 | |
55℃ | 2.972 | 14.86 | 29.26 | 14.44 | 13.999 | 27.97 | 26.4 | 37.71 | |
60℃ | 2.467 | 12.38 | 24.30 | 12.00 | 11.53 | 23.06 | 21.53 | 30.58 | |
65℃ | 2.073 | 10.36 | 20.27 | 10.03 | 9.541 | 19.8 | 17.69 | 24.94 | |
70℃ | 1.734 | 8.717 | 16.99 | 8.42 | 7.929 | 15.86 | 14.62 | 20.45 | |
75℃ | 1.473 | 7.364 | 14.31 | 7.11 | 6.621 | 13.24 | 12.1 | 16.85 | |
80℃ | 1.25 | 6.248 | 12.1 | 6.03 | 5.552 | 11.1 | 10.05 | 13.94 | |
85℃ | 1.065 | 5.324 | 10.27 | 5.05 | 4.674 | 9.348 | 8.376 | 11.6 | |
90℃ | 0.911 | 4.555 | 8.758 | 4.4 | 3.95 | 7.9 | 7.004 | 9.68 | |
95℃ | 0.7824 | 3.912 | 7.459 | 3.78 | 3.349 | 6.698 | 5.894 | 8.118 | |
100℃ | 0.6744 | 3.372 | 6.438 | 3.26 | 2.849 | 5.698 | 4.978 | 6.836 | |
105℃ | 0.5834 | 2.917 | 5.55 | 2.82 | 2.438 | 4.875 | 4.215 | 5.78 | |
| 0.5066 | 2.533 | 4.801 | 2.46 | 2.093 | 4.186 | 3.58 | 4.904 | |
B25/50℃ | 3950 | 3950 | 4000 | 4050 | 4150 | 4150 | 4300 | 4500 | |
B25/85℃ | 3990 | 3990 | 4050 | 4080 | 4220 | 4220 | 4410 | 4560 |
广东威敏通电子科技有限公司 版权所有
技术支持:东莞网站建设