发布时间:2025-09-27
怎么连接热敏电阻
热敏电阻简介
有两种型号的热敏电阻:NTC和PTC。负型系数(NTC)热敏电阻的电阻在温度上升时降低,而正型系数(PTC)则相反。
热敏电阻和温度之间的关系由Steinhart-Hart方程给出:
这里,a,b和c被称为Steinhart-Hart参数,而且每个热敏电阻都不同。留意,这里的T是凯尔温斯的温度。
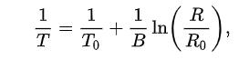
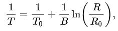
大部分的情况下,热敏电阻的Steinhart-Hart参数不会出现在其数据表中。这便是为什么下面的等式在工程体系中更有效:

其间T0=25℃,R0是热敏电阻在T0时的电阻。
B被称为beta(β)参数,在数据表中供给。
B值仅对给定范围为真。例如,该热敏电阻具有以下B值:

以下是这些数字的意义:在25℃至50℃的温度下,B值为3380(K为开尔文),而在25℃至85℃时,B值为3434,B值增加至3455 at 25℃至100℃。
要知道使用的切当温度范围,需要用正确的B值。
接口电路
由于微控制器读取电压而不是电阻,咱们应该找到一种办法将电阻改变转换为电压改变。最简单的电路是分压器:

我建议使用3.3V作为电路电源,由于与Arduino电路板上的5V电源相比,噪声较小。关于像PIC这样的裸微控制器,使用5V电源没问题。
挑选10k电阻是由于它与我的热敏电阻的标称(R0)值相同。与两者之间的差异较大相比,这使得它对电阻改变更敏感。
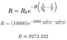
假定温度为27℃,最高或许温度为100℃。使用与上述示例相同的热敏电阻,B值应为3380,因而,操作公式时,电阻为27℃

在分压电路中,该电阻的相应电压为:

然后,该电压值将由模数转换器解释为:

一个更好的方程是将分压器方程与这样的模拟 -数字方程相结合

所以这里是上面的方程怎么转换为Arduino草图:

一旦咱们有了热敏电阻,咱们只需要用Steinhart-Hart方程来找到温度:


上述代码有效,但由于测量噪声和其他要素,总会出现读数出错。因而,最好采纳尽可能多的样本并取得这些样本的平均值。假定咱们使用100个样本:

这将是基于热敏电阻的arduino温度传感器的完整代码:

广东威敏通电子科技有限公司 版权所有
技术支持:东莞网站建设